弱視児童生徒が拡大教科書を有効に活用できるためには、適した文字サイズ等を選ぶ必要がある。しかし、拡大教科書の選定・評価方法については、未だ、確立された方法はなく、学校において、どのような選定・評価が実施されているかは明らかになっていない。そこで、本調査では、視覚障害教育のセンターとしての役割を担っている視覚障害特別支援学校(以下、盲学校)の教員を対象としたアンケートを計画した。
拡大教科書の選定・評価を、盲学校に在籍している教員が、どのように実施しているのかを明らかにするために、郵送方式によるアンケート調査を実施した。調査対象者は、盲学校の小・中・高等部で児童生徒の教科指導に直接にかかわっているすべての教諭(理療科担当教諭は除く)であった。全国の盲学校70校に調査票を発送した。なお、本調査は、平成22年度「民間組織・支援技術を活用した特別支援教育研究事業」の「高等学校段階における弱視生徒用拡大教科書の在り方に関する調査研究」と同時に実施した。
調査票を発送した70校すべてから回答があり、1,848件の有効回答が得られた。
所属学部は、幼稚部が131人、小学部が424人、中学部が373人、高等部が908人、その他が69人であった(重複回答者が57人あり)。
| 
							回答者数 | 
							比率(%) | ||
| 
							総数 | 
							1,848 | 
							100% | |
| 
							内訳 | 
							幼稚部 | 
							131 | 
							7.1% | 
| 
							小学部 | 
							424 | 
							22.9% | |
| 
							中学部 | 
							373 | 
							20.2% | |
| 
							高等部 | 
							908 | 
							49.1% | |
| 
							その他 | 
							69 | 
							3.7% | |
| 
							未回答 | 
							32 | 
							1.7% | |
| 
							計 | 
							1,937 | 
							105% | |
 
 
	
以下に、教員経験年数、盲学校、弱視学級での指導経験を学部別に示す。教員経験年数は20〜30年が577人、10〜20年が411人で多く、比較的教育経験が豊富なケースが多いことがわかった。しかし、盲学校や弱視学級での視覚障害教育の経験年数は少なく5年未満というケースが多かった。
| 
							教職経験 | 
							5年未満 | 
							5〜10年 | 
							10〜20年 | ||||
| 
							回答者数 | 
							比率(%) | 
							回答者数 | 
							比率(%) | 
							回答者数 | 
							比率(%) | ||
| 
							総数 n= | 
							1,848 | 
							213 | 
							11.5% | 
							194 | 
							10.5% | 
							411 | 
							22.2% | 
| 
							内訳 | 
							小学部 | 
							49 | 
							11.6% | 
							42 | 
							9.9% | 
							97 | 
							22.9% | 
| 
							中学部 | 
							36 | 
							9.7% | 
							37 | 
							9.9% | 
							86 | 
							23.1% | |
| 
							高等部 | 
							116 | 
							12.8% | 
							95 | 
							10.5% | 
							199 | 
							21.9% | |
| 
							その他 | 
							17 | 
							8.5% | 
							26 | 
							13.0% | 
							39 | 
							19.5% | |
| 
							計 | 
							218 | 
							11.8% | 
							200 | 
							10.8% | 
							421 | 
							22.8% | |
| 
							教職経験 | 
							20〜30年 | 
							30年以上 | 
							未回答 | ||||
| 
							回答者数 | 
							比率(%) | 
							回答者数 | 
							比率(%) | 
							回答者数 | 
							比率(%) | ||
| 
							総数 n= | 
							1848 | 
							577 | 
							31.2% | 
							291 | 
							15.7% | 
							162 | 
							8.8% | 
| 
							内訳 | 
							小学部 | 
							144 | 
							34.0% | 
							61 | 
							14.4% | 
							31 | 
							7.3% | 
| 
							中学部 | 
							128 | 
							34.3% | 
							59 | 
							15.8% | 
							27 | 
							7.2% | |
| 
							高等部 | 
							267 | 
							29.4% | 
							147 | 
							16.2% | 
							84 | 
							9.3% | |
| 
							その他 | 
							63 | 
							31.5% | 
							32 | 
							16.0% | 
							23 | 
							11.5% | |
| 
							計 | 
							602 | 
							32.6% | 
							299 | 
							16.2% | 
							165 | 
							8.9% | |
 
	
	| 
							盲学校経験 | 
							5年未満 | 
							5〜10年 | 
							10〜20年 | ||||
| 
							回答者数 | 
							比率(%) | 
							回答者数 | 
							比率(%) | 
							回答者数 | 
							比率(%) | ||
| 
							総数 n= | 
							1,848 | 
							772 | 
							41.8% | 
							442 | 
							23.9% | 
							341 | 
							18.5% | 
| 
							内訳 | 
							小学部 | 
							191 | 
							45.0% | 
							120 | 
							28.3% | 
							62 | 
							14.6% | 
| 
							中学部 | 
							188 | 
							50.4% | 
							94 | 
							25.2% | 
							60 | 
							16.1% | |
| 
							高等部 | 
							328 | 
							36.1% | 
							192 | 
							21.1% | 
							194 | 
							21.4% | |
| 
							その他 | 
							82 | 
							41.0% | 
							55 | 
							27.5% | 
							37 | 
							18.5% | |
| 
							計 | 
							789 | 
							41.4% | 
							461 | 
							24.2% | 
							353 | 
							18.5% | |
| 
							盲学校経験 | 
							20〜30年 | 
							30年以上 | 
							未回答 | ||||
| 
							回答者数 | 
							比率(%) | 
							回答者数 | 
							比率(%) | 
							回答者数 | 
							比率(%) | ||
| 
							総数 n= | 
							1848 | 
							134 | 
							7.3% | 
							60 | 
							3.2% | 
							99 | 
							5.4% | 
| 
							内訳 | 
							小学部 | 
							22 | 
							5.2% | 
							6 | 
							1.4% | 
							23 | 
							5.4% | 
| 
							中学部 | 
							12 | 
							3.2% | 
							4 | 
							1.1% | 
							15 | 
							4.0% | |
| 
							高等部 | 
							96 | 
							10.6% | 
							49 | 
							5.4% | 
							49 | 
							5.4% | |
| 
							その他 | 
							9 | 
							4.5% | 
							3 | 
							1.5% | 
							14 | 
							7.0% | |
| 
							計 | 
							139 | 
							7.3% | 
							62 | 
							3.3% | 
							101 | 
							5.3% | |
 
	| 
							弱視学級経験 | 
							5年未満 | 
							5〜10年 | 
							10〜20年 | ||||
| 
							回答者数 | 
							比率(%) | 
							回答者数 | 
							比率(%) | 
							回答者数 | 
							比率(%) | ||
| 
							総数 n= | 
							1,848 | 
							80 | 
							4.3% | 
							10 | 
							0.5% | 
							5 | 
							0.3% | 
| 
							内訳 | 
							小学部 | 
							22 | 
							5.2% | 
							6 | 
							1.4% | 
							2 | 
							0.5% | 
| 
							中学部 | 
							22 | 
							5.9% | 
							4 | 
							1.1% | 
							0 | 
							0% | |
| 
							高等部 | 
							32 | 
							3.5% | 
							0 | 
							0% | 
							3 | 
							0.3% | |
| 
							その他 | 
							7 | 
							3.5% | 
							0 | 
							0% | 
							0 | 
							0% | |
| 
							計 | 
							83 | 
							4.4% | 
							10 | 
							0.5% | 
							5 | 
							0.3% | |
| 
							弱視学級経験 | 
							20〜30年 | 
							30年以上 | 
							未回答 | ||||
| 
							回答者数 | 
							比率(%) | 
							回答者数 | 
							比率(%) | 
							回答者数 | 
							比率(%) | ||
| 
							総数 n= | 
							1848 | 
							0 | 
							0% | 
							0 | 
							0% | 
							1,753 | 
							94.9% | 
| 
							内訳 | 
							小学部 | 
							0 | 
							0% | 
							0 | 
							0% | 
							394 | 
							92.9% | 
| 
							中学部 | 
							0 | 
							0% | 
							0 | 
							0% | 
							347 | 
							93.0% | |
| 
							高等部 | 
							0 | 
							0% | 
							0 | 
							0% | 
							873 | 
							96.1% | |
| 
							その他 | 
							0 | 
							0% | 
							0 | 
							0% | 
							193 | 
							96.5% | |
| 
							計 | 
							0 | 
							0% | 
							0 | 
							0% | 
							1,807 | 
							94.9% | |
 
	
何らかの特別支援学校教員免許状を所有している教員は1499人、免許状をまったく有していない教員が349人であった。また盲学校(特別支援学校(視覚障害))教員免許を有している教員が854人であったのに対して、同免許を有していない教員は994人と、免許を有していない教員の方が多かった。
|  | 
							免許あり | ||||||||
| 
							全体 | 
							視覚 | 
							聴覚 | 
							知的 | ||||||
| 
							回答者数 | 
							比率(%) | 
							回答者数 | 
							比率(%) | 
							回答者数 | 
							比率(%) | 
							回答者数 | 
							比率(%) | ||
| 
							総数 n= | 
							1848 | 
							1,499 | 
							81.1% | 
							854 | 
							46.2% | 
							221 | 
							12.0% | 
							715 | 
							38.7% | 
| 
							内訳 | 
							小学部 | 
							371 | 
							87.5% | 
							210 | 
							49.5% | 
							74 | 
							17.5% | 
							238 | 
							56.1% | 
| 
							中学部 | 
							290 | 
							77.7% | 
							160 | 
							42.9% | 
							41 | 
							11.0% | 
							173 | 
							46.4% | |
| 
							高等部 | 
							712 | 
							78.4% | 
							420 | 
							46.3% | 
							82 | 
							9.0% | 
							229 | 
							25.2% | |
| 
							その他 | 
							175 | 
							87.5% | 
							94 | 
							47.0% | 
							30 | 
							15.0% | 
							100 | 
							50.0% | |
| 
							計 | 
							1,548 | 
							81.3% | 
							884 | 
							46.4% | 
							227 | 
							11.9% | 
							740 | 
							38.8% | |
|  | 
							免許あり | 
							免許なし | |||||||
| 
							肢体 | 
							病弱 | 
							その他 | |||||||
| 
							回答者数 | 
							比率(%) | 
							回答者数 | 
							比率(%) | 
							回答者数 | 
							比率(%) | 
							回答者数 | 
							比率(%) | ||
| 
							総数 n= | 
							1848 | 
							468 | 
							25.3% | 
							438 | 
							23.7% | 
							245 | 
							13.3% | 
							349 | 
							18.9% | 
| 
							内訳 | 
							小学部 | 
							161 | 
							38.0% | 
							151 | 
							35.6% | 
							41 | 
							9.7% | 
							53 | 
							12.5% | 
| 
							中学部 | 
							100 | 
							26.8% | 
							97 | 
							26.0% | 
							29 | 
							7.8% | 
							83 | 
							22.3% | |
| 
							高等部 | 
							158 | 
							17.4% | 
							149 | 
							16.4% | 
							156 | 
							17.2% | 
							196 | 
							21.6% | |
| 
							その他 | 
							65 | 
							32.5% | 
							56 | 
							28.0% | 
							25 | 
							12.5% | 
							25 | 
							12.5% | |
| 
							計 | 
							484 | 
							25.4% | 
							453 | 
							23.8% | 
							251 | 
							13.2% | 
							357 | 
							18.7% | |
 
	指導経験ありが1211名、経験なしが616名で、拡大教科書を用いている生徒への教科指導の経験がある教員が多かった。
|  | 
							経験あり | 
							なし | 
							未回答 | ||||
| 
							回答者数 | 
							比率(%) | 
							回答者数 | 
							比率(%) | 
							回答者数 | 
							比率(%) | ||
| 
							総数 n= | 
							1848 | 
							1,211 | 
							65.5% | 
							616 | 
							33.3% | 
							21 | 
							1.1% | 
| 
							内訳 | 
							小学部 | 
							243 | 
							57.3% | 
							180 | 
							42.5% | 
							1 | 
							0.2% | 
| 
							中学部 | 
							271 | 
							72.7% | 
							100 | 
							26.8% | 
							2 | 
							0.5% | |
| 
							高等部 | 
							648 | 
							71.4% | 
							249 | 
							27.4% | 
							11 | 
							1.2% | |
| 
							その他 | 
							79 | 
							39.5% | 
							114 | 
							57.0% | 
							7 | 
							3.5% | |
| 
							計 | 
							1,241 | 
							65.1% | 
							643 | 
							33.8% | 
							21 | 
							1.1% | |
 
	
「選定・指導は他(別の人や機関)にまかせている」が345人、「(拡大教科書や補助具を必要とする幼児児童)生徒を担当したことが無い」が335人と多かった。なお、表中の比率は、拡大教科書や補助具を使った教科指導の経験がないと回答した者に対する割合である。
|  | 
							選定・指導は他にまかせる | 
							生徒を担当したことが無い | 
							選定・指導方法が分からない | 
							その他 | |||||
| 
							回答者数 | 
							比率(%) | 
							回答者数 | 
							比率(%) | 
							回答者数 | 
							比率(%) | 
							回答者数 | 
							比率(%) | ||
| 
							総数 n= | 
							843 | 
							345 | 
							40.9% | 
							335 | 
							39.7% | 
							124 | 
							14.7% | 
							106 | 
							12.6% | 
| 
							内訳 | 
							小学部 | 
							40 | 
							21.2% | 
							131 | 
							69.3% | 
							20 | 
							10.6% | 
							12 | 
							6.3% | 
| 
							中学部 | 
							73 | 
							44.0% | 
							56 | 
							33.7% | 
							30 | 
							18.1% | 
							18 | 
							10.8% | |
| 
							高等部 | 
							223 | 
							53.1% | 
							101 | 
							24.0% | 
							68 | 
							16.2% | 
							68 | 
							16.2% | |
| 
							その他 | 
							19 | 
							21.3% | 
							58 | 
							65.2% | 
							8 | 
							9.0% | 
							9 | 
							10.1% | |
| 
							計 | 
							355 | 
							41.1% | 
							346 | 
							40.0% | 
							126 | 
							14.6% | 
							107 | 
							12.4% | |
 
	
拡大教科書や補助具の選定・指導を行った経験のある教員が973人であったのに対して、指導経験のない教員が843人であった。半数以上(53%)の教員が拡大教科書や補助具の選定・指導を実施した経験があることがわかった。
|  | 
							経験あり | 
							なし | 
							未回答 | ||||
| 
							回答者数 | 
							比率(%) | 
							回答者数 | 
							比率(%) | 
							回答者数 | 
							比率(%) | ||
| 
							総数 n= | 
							1848 | 
							973 | 
							52.7% | 
							843 | 
							45.6% | 
							32 | 
							1.7% | 
| 
							内訳 | 
							小学部 | 
							232 | 
							54.7% | 
							189 | 
							44.6% | 
							3 | 
							0.7% | 
| 
							中学部 | 
							202 | 
							54.2% | 
							166 | 
							44.5% | 
							5 | 
							1.3% | |
| 
							高等部 | 
							471 | 
							51.9% | 
							420 | 
							46.3% | 
							17 | 
							1.9% | |
| 
							その他 | 
							103 | 
							51.5% | 
							89 | 
							44.5% | 
							8 | 
							4.0% | |
| 
							計 | 
							1,008 | 
							52.9% | 
							864 | 
							45.4% | 
							33 | 
							1.7% | |
 
	
視力が711件と最も多く、視野681件、最大視認力572件であった。なお、表中の比率は、拡大教科書や補助具を使った教科指導の経験があると回答した者に対する割合である。
|  | 
						視力 | 
						視野 | 
						最大視認力 | 
						まぶしさ | |||||
| 
						回答者数 | 
						比率(%) | 
						回答者数 | 
						比率(%) | 
						回答者数 | 
						比率(%) | 
						回答者数 | 
						比率(%) | ||
| 
						総数 n= | 
						973 | 
						711 | 
						73.1% | 
						681 | 
						70.0% | 
						572 | 
						58.8% | 
						502 | 
						51.6% | 
| 
						内訳 | 
						小学部 | 
						168 | 
						72.4% | 
						156 | 
						67.2% | 
						180 | 
						77.6% | 
						130 | 
						56.0% | 
| 
						中学部 | 
						145 | 
						71.8% | 
						142 | 
						70.3% | 
						121 | 
						59.9% | 
						101 | 
						50.0% | |
| 
						高等部 | 
						348 | 
						73.9% | 
						336 | 
						71.3% | 
						230 | 
						48.8% | 
						229 | 
						48.6% | |
| 
						その他 | 
						77 | 
						74.8% | 
						74 | 
						71.8% | 
						70 | 
						68.0% | 
						63 | 
						61.2% | |
| 
						計 | 
						738 | 
						73.2% | 
						708 | 
						70.2% | 
						601 | 
						59.6% | 
						523 | 
						51.9% | |
|  | 
						読書効率 | 
						色覚 | 
						屈折 | 
						その他 | |||||
| 
						回答者数 | 
						比率(%) | 
						回答者数 | 
						比率(%) | 
						回答者数 | 
						比率(%) | 
						回答者数 | 
						比率(%) | ||
| 
						総数 n= | 
						973 | 
						474 | 
						48.7% | 
						172 | 
						17.7% | 
						85 | 
						8.7% | 
						22 | 
						2.3% | 
| 
						内訳 | 
						小学部 | 
						135 | 
						58.2% | 
						50 | 
						21.6% | 
						32 | 
						13.8% | 
						6 | 
						2.6% | 
| 
						中学部 | 
						98 | 
						48.5% | 
						34 | 
						16.8% | 
						13 | 
						6.4% | 
						2 | 
						1.0% | |
| 
						高等部 | 
						206 | 
						43.7% | 
						73 | 
						15.5% | 
						31 | 
						6.6% | 
						11 | 
						2.3% | |
| 
						その他 | 
						59 | 
						57.3% | 
						20 | 
						19.4% | 
						12 | 
						11.7% | 
						3 | 
						2.9% | |
| 
						計 | 
						498 | 
						49.4% | 
						177 | 
						17.6% | 
						88 | 
						8.7% | 
						22 | 
						2.2% | |
 
	
国際的な読書評価チャートであるMNREAD-Jを活用しているケースが316件と、最も多かった。なお、表中の比率は、拡大教科書や補助具を使った教科指導の経験があると回答した者に対する割合である。
|  | 
							MNREAD-J | 
							LVC最適 文字サイズ検査 | 
							その他 | 
							未回答 | |||||
| 
							回答者数 | 
							比率(%) | 
							回答者数 | 
							比率(%) | 
							回答者数 | 
							比率(%) | 
							回答者数 | 
							比率(%) | ||
| 
							総数 n= | 
							973 | 
							316 | 
							32.5% | 
							92 | 
							9.5% | 
							145 | 
							14.9% | 
							420 | 
							43.2% | 
| 
							内訳 | 
							小学部 | 
							106 | 
							45.7% | 
							23 | 
							9.9% | 
							34 | 
							14.7% | 
							69 | 
							29.7% | 
| 
							中学部 | 
							72 | 
							35.6% | 
							22 | 
							10.9% | 
							15 | 
							7.4% | 
							93 | 
							46.0% | |
| 
							高等部 | 
							109 | 
							23.1% | 
							41 | 
							8.7% | 
							83 | 
							17.6% | 
							238 | 
							50.5% | |
| 
							その他 | 
							50 | 
							48.5% | 
							7 | 
							6.8% | 
							21 | 
							20.4% | 
							25 | 
							24.3% | |
| 
							計 | 
							337 | 
							33.4% | 
							93 | 
							9.2% | 
							153 | 
							15.2% | 
							425 | 
							42.2% | |
 
	
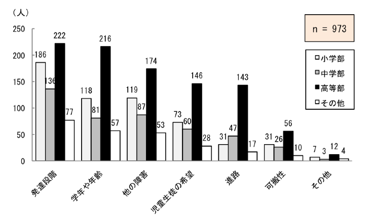
「発達段階」が591人と最も多く、次いで「学年や年齢」、「他の障害」が多かった。なお、表中の比率は、拡大教科書や補助具を使った教科指導の経験があると回答した者に対する割合である。
|  | 
							発達段階 | 
							学年や年齢 | 
							他の障害 | 
							児童生徒の希望 | |||||
| 
							回答者数 | 
							比率(%) | 
							回答者数 | 
							比率(%) | 
							回答者数 | 
							比率(%) | 
							回答者数 | 
							比率(%) | ||
| 
							総数 n= | 
							973 | 
							591 | 
							60.7% | 
							451 | 
							46.4% | 
							413 | 
							42.4% | 
							297 | 
							30.5% | 
| 
							内訳 | 
							小学部 | 
							186 | 
							80.2% | 
							118 | 
							50.9% | 
							119 | 
							51.3% | 
							73 | 
							31.5% | 
| 
							中学部 | 
							136 | 
							67.3% | 
							81 | 
							40.1% | 
							87 | 
							43.1% | 
							60 | 
							29.7% | |
| 
							高等部 | 
							222 | 
							47.1% | 
							216 | 
							45.9% | 
							174 | 
							36.9% | 
							146 | 
							31.0% | |
| 
							その他 | 
							77 | 
							74.8% | 
							57 | 
							55.3% | 
							53 | 
							51.5% | 
							28 | 
							27.2% | |
| 
							計 | 
							621 | 
							61.6% | 
							472 | 
							46.8% | 
							433 | 
							43.0% | 
							307 | 
							30.5% | |
|  | 
							進路 | 
							可搬性 | 
							その他 |  |  | ||||
| 
							回答者数 | 
							比率(%) | 
							回答者数 | 
							比率(%) | 
							回答者数 | 
							比率(%) |  |  | ||
| 
							総数 n= | 
							973 | 
							234 | 
							24.0% | 
							118 | 
							12.1% | 
							25 | 
							2.6% |  |  | 
| 
							内訳 | 
							小学部 | 
							31 | 
							13.4% | 
							31 | 
							13.4% | 
							7 | 
							3.0% |  |  | 
| 
							中学部 | 
							47 | 
							23.3% | 
							26 | 
							12.9% | 
							3 | 
							1.5% |  |  | |
| 
							高等部 | 
							143 | 
							30.4% | 
							56 | 
							11.9% | 
							12 | 
							2.5% |  |  | |
| 
							その他 | 
							17 | 
							16.5% | 
							10 | 
							9.7% | 
							4 | 
							3.9% |  |  | |
| 
							計 | 
							238 | 
							23.6% | 
							123 | 
							12.2% | 
							26 | 
							2.6% |  |  | |
 
	拡大教科書等の選定・指導を行った経験のある教員は、盲学校教員の約半数(53%)であることがわかった。半数弱の盲学校教員が、拡大教科書等の選定・指導を行った経験がない理由としては、盲学校や弱視学級での指導経験が少ない教員が多い(約4割)こと、盲学校教員免許を有している教員が約4割程度と少ないこと、重複障害の児童生徒が多いため拡大教科書等を必要とする児童生徒を担当する機会が少ないことが考えられる。今後、拡大教科書がより適切に選択されるためには、弱視児童生徒の拡大教科書選定・評価の支援が可能な教員の割合を多くする必要性があることが示唆された。
拡大教科書の選定・評価の内容として教員が重視しているのは、視力、視野、最大視認力、まぶしさ、読書効率評価、色覚検査、屈折検査という順であった。しかし、Leggeら(1989)、小田ら(1998)、歓喜ら(1989)等は、弱視児・者の読書に適した文字サイズを評価するためには、読書の効率を測定する必要があることを指摘している。読書効率を評価するための読書検査表には、筑波大学附属視覚特別支援学校LVC最適文字サイズ検査(http://www.lv-club.jp/mokuji/saitekimoji.htm)を始め、様々な種類があるが、世界的に最も普及し、妥当性・信頼性が高いと評価されているのは、ミネソタ大学で開発されたMNREADである。本調査の結果でもMNREADの日本版であるMNREAD-J(http://www.cis.twcu.ac.jp/~k-oda/MNREAD-J/)を利用している教員は316人で他の検査よりも多かった。しかし、この人数は選定・評価を実施している教員の3割程度に留まっていた。我々は、別の調査で、MNREAD-J等の読書効率に関する検査が十分に行われていない理由をヒアリングした。その結果、検査方法に習熟していなかったり、検査結果をどのように活用すればよいかわからなかったりというケースが少なくなかった。また、拡大教科書等の選定・評価においては、読書効率以外の要因として、発達段階、学年や年齢、他の障害、児童生徒の希望、進路等を考慮する必要があると考えられていることがわかった。
これらを総合して考えると、読書効率の観点から拡大教科書等の選定・評価が出来る方法を確立し、視覚障害教育を担当する教員が実施できる研修体制を構築する必要性があることがわかる。また、読書効率以外の要因をどのように扱えばよいかの指針が必要なことが示唆された。