本研究の目的は、高等学校段階における弱視生徒用拡大教科書の在り方を明らかにするための基礎データを収集することである。小学校、中学校段階における拡大教科書に関しては、香川(2001)、国立特殊教育総合研究所(2005)等の研究成果に基づき、標準規格が作成されている。しかし、弱視の高校生(以下、弱視生徒)に関しては、1)視機能等、特に読書能力に関する基礎データが十分でない、2)卒業後の進路等を考慮した教育目標を設定しなければならないという発達課題がある、3)義務教育ではないため経費等の社会的な要因を考慮しなければならない等の課題がある。本研究では、最も教育的配慮を必要としている盲学校高等部に在籍している弱視生徒に対象を絞り、視機能や拡大教科書に関するニーズ等のアンケート調査を実施した。
視覚特別支援学校(盲学校)の高等部に在籍している生徒を対象にアンケート方式の実態調査を実施した。アンケートでは、a)眼疾患や視機能等のプロフィール、b)中学校段階での拡大教科書の利用状況、c)高等学校段階での拡大教科書や補助具の利用状況、d)理想的な教科書のあり方に関する要望等を調査した(調査用紙は巻末に掲載)。調査用紙は盲学校に送付し、各盲学校に在籍している弱視生徒に配布していただいた。調査用紙は、高等部があり、弱視の生徒が在籍している盲学校57校に2010年7月4日に送付した。なお、本研究は「慶應義塾総合研究推進機構研究倫理委員会」で承認を受けた上で実施した。
高等部があり、弱視生徒が在籍している57校の盲学校すべてから338件の有効回答が得られた。
普通科の生徒が232人、保健理療科の生徒が99人、その他の学科が7人で、学年はほぼ均等に分布していた(図6.1)。男女の割合も、保健理療科において男性の割合が多かったものの、ほぼ均等に分布していた(図6.2)。


調査対象の生徒が持つ眼疾患は、白内障が最も多く、網膜色素変性症、緑内障が続いていた(図6.3)。0.1〜0.3の視力の生徒が94人と最も多く、続いて0.3以上の視力の生徒が69人であった。割合としては、比較的視力の高い生徒が多いことがわかる(図6.4)。また、視距離を固定せず、生徒が識別できる最小の視力標と、その時の視認距離から求めることができる最大視認力を以下の図6.5に示す。
また、調査対象者が読書の際に主として使っている眼は、左右ともにほぼ同数の人数であり、このことから主として使っている眼の左右の間で明確な差がないことが明らかとなった(図6.6)。




視野に障害がない生徒は112人、障害のある生徒は235人で、半数以上の弱視生徒が視野障害を有していることがわかった。視野障害の内容としては、視野狭窄が164人と多く、中心暗点がある生徒は48人であった(図6.7)。先行研究では、ルーペよりも拡大教科書の恩恵を最も受けることができるのは、中心暗点があるケースとされている。そのため、中心暗点があると報告した48人は、拡大教科書の必要を最も感じている可能性が高いことが示唆される。
また、視力、視野以外で日常的に困難に感じていることで一番多く回答を得たのが「まぶしい」で、179人であった。次いで「白黒反転の方が見やすい」が111人、「夜盲がある」が108人であった(図6.8)。


視覚以外の障害はないと答えた人は278名で、聴覚障害が16人、肢体不自由が7人、その他が32人であった(図6.9)。

現在、学校や家庭などで勉強や読書などの読み書きに使用している補助具について、使用の有無、補助具の種類、および使用頻度を調査した。普通科、保健理療科ともに6割以上の生徒が補助具を利用しており(図6.10)、ルーペが最も多く使用され、ついでCCTVが使用されている(図6.11)。また、補助具は常に使用するより、必要に応じて使用することが多いことが明らかとなった(表6.1)。
また、生徒が補助具を使用し始めた年齢として最も多いのは13歳から15歳の間で、次いで7歳から9歳の間で多いことがわかった(図6.12)。


|
|
いつも
|
必要に応じて
|
困ったとき
|
使わない
|
|||||
|
回答者数
|
比率(%)
|
回答者数
|
比率(%)
|
回答者数
|
比率(%)
|
回答者数
|
比率(%)
|
||
|
レンズ n=160
|
48
|
30%
|
135
|
84%
|
21
|
13%
|
6
|
4%
|
|
|
CCTV n=100
|
41
|
41%
|
61
|
61%
|
14
|
14%
|
4
|
4%
|
|
|
遮光眼鏡 n=21
|
6
|
29%
|
15
|
71%
|
0
|
0%
|
0
|
0%
|
|
|
机上灯 n=19
|
6
|
32%
|
11
|
58%
|
1
|
5%
|
1
|
5%
|
|
|
傾斜机 n=23
|
13
|
57%
|
10
|
43%
|
1
|
4%
|
1
|
4%
|
|
|
書見台 n=42
|
15
|
36%
|
25
|
60%
|
1
|
2%
|
1
|
2%
|
|
|
タイポスコープ n=2
|
0
|
0%
|
0
|
0%
|
2
|
100%
|
0
|
0%
|
|
|
その他 n=20
|
6
|
30%
|
14
|
70%
|
3
|
15%
|
2
|
10%
|
|

視覚障害に関する相談や指導の経験に関して、経験の有無、相談や指導を受けた場所、担当した者、受けた検査、指導の内容を調査した。
指導を定期的に、あるいは必要なときに受けている生徒は半数ほどで、指導をまったく受けたことがない生徒も2割弱ほどいることが明らかになった(図6.13)。指導は主に盲学校か病院にて受けており(図6.14)、対応して指導の担当者は先生が最も多く、ついで眼科医が担当していることが多かった(図6.15)。相談・指導の際に受ける検査としては、視力検査と視野検査が多く行われ、次いで読書に関する検査も行われていることが明らかになった(図6.16)。相談・指導の内容は、全体の集計としては、学校での学習に関するものが最も多く、次いで補助具の選定に関するものが多いという結果となった(図6.17)(重複回答者1人あり)。





現在使用している教科書の種類、および教科ごとの補助具の併用実態を調査した。
倫理、物理、美術、家庭科は拡大教科書の使用比率が少なく、英語や地理、理科総合はレイアウト拡大を使用している比率が多いことが明らかとなった(表6.2)。
補助具としては、教科にかかわらず手持ちルーペやCCTVが多く使用されていることが明らかとなった(表6.3)。また、使用している教科書が拡大か否かに関わらず、補助具が併用されていることが明らかとなった(表6.4)。
|
|
回答者数
|
比率(横%)
|
||||
|
通常
|
単純拡大
|
レイアウト拡大
|
通常
|
単純拡大
|
レイアウト拡大
|
|
|
国語
|
133
|
118
|
24
|
48%
|
43%
|
9%
|
|
古典
|
55
|
33
|
7
|
58%
|
35%
|
7%
|
|
数学
|
142
|
106
|
21
|
53%
|
39%
|
8%
|
|
英語
|
149
|
96
|
31
|
54%
|
35%
|
11%
|
|
地理
|
57
|
30
|
10
|
59%
|
31%
|
10%
|
|
日本史
|
46
|
35
|
1
|
56%
|
43%
|
1%
|
|
世界史
|
66
|
54
|
8
|
52%
|
42%
|
6%
|
|
倫理
|
14
|
3
|
1
|
78%
|
17%
|
6%
|
|
現代社会
|
81
|
62
|
5
|
55%
|
42%
|
3%
|
|
政治経済
|
25
|
10
|
3
|
66%
|
26%
|
8%
|
|
理科総合
|
84
|
75
|
35
|
43%
|
39%
|
18%
|
|
物理
|
17
|
4
|
1
|
77%
|
18%
|
5%
|
|
生物
|
68
|
34
|
5
|
64%
|
32%
|
5%
|
|
化学
|
37
|
19
|
1
|
65%
|
33%
|
2%
|
|
情報
|
82
|
59
|
2
|
57%
|
41%
|
1%
|
|
保健体育
|
109
|
72
|
7
|
58%
|
38%
|
4%
|
|
美術
|
80
|
7
|
1
|
91%
|
8%
|
1%
|
|
家庭科
|
166
|
11
|
5
|
91%
|
6%
|
3%
|
|
音楽
|
89
|
53
|
9
|
59%
|
35%
|
6%
|
|
その他
|
19
|
8
|
12
|
66%
|
26%
|
8%
|
|
|
回答者数
|
比率(横%)
|
||||||
|
卓上ルーペ
|
手持ちルーペ
|
弱視眼鏡
|
CCTV
|
卓上ルーペ
|
手持ちルーペ
|
弱視眼鏡
|
CCTV
|
|
|
国語
|
9
|
58
|
24
|
45
|
7%
|
43%
|
18%
|
33%
|
|
古典
|
2
|
23
|
10
|
15
|
4%
|
46%
|
20%
|
30%
|
|
数学
|
9
|
62
|
27
|
36
|
7%
|
46%
|
20%
|
27%
|
|
英語
|
7
|
65
|
26
|
42
|
5%
|
46%
|
19%
|
30%
|
|
地理
|
2
|
27
|
6
|
19
|
4%
|
50%
|
11%
|
35%
|
|
日本史
|
3
|
18
|
9
|
17
|
6%
|
38%
|
19%
|
36%
|
|
世界史
|
6
|
27
|
13
|
24
|
9%
|
39%
|
19%
|
34%
|
|
倫理
|
1
|
6
|
2
|
4
|
8%
|
46%
|
15%
|
31%
|
|
現代社会
|
3
|
33
|
17
|
32
|
4%
|
39%
|
20%
|
38%
|
|
政治経済
|
1
|
13
|
5
|
5
|
4%
|
54%
|
21%
|
21%
|
|
理科総合
|
5
|
42
|
17
|
33
|
5%
|
43%
|
18%
|
34%
|
|
物理
|
1
|
6
|
1
|
4
|
8%
|
50%
|
8%
|
33%
|
|
生物
|
4
|
27
|
11
|
20
|
6%
|
44%
|
18%
|
32%
|
|
化学
|
1
|
15
|
4
|
12
|
3%
|
47%
|
13%
|
38%
|
|
情報
|
3
|
35
|
11
|
20
|
4%
|
51%
|
16%
|
29%
|
|
保健体育
|
2
|
44
|
16
|
25
|
2%
|
51%
|
18%
|
29%
|
|
美術
|
2
|
21
|
3
|
6
|
6%
|
66%
|
9%
|
19%
|
|
家庭科
|
5
|
40
|
16
|
26
|
6%
|
46%
|
18%
|
30%
|
|
音楽
|
4
|
38
|
10
|
13
|
6%
|
58%
|
15%
|
20%
|
|
その他
|
1
|
8
|
1
|
11
|
5%
|
38%
|
5%
|
52%
|
|
|
回答者数
|
比率(横%)
|
||||||
|
卓上ルーペ
|
手持ちルーペ
|
弱視眼鏡
|
CCTV
|
卓上ルーペ
|
手持ちルーペ
|
弱視眼鏡
|
CCTV
|
|
|
通常
|
9
|
75
|
26
|
56
|
6%
|
45%
|
18%
|
31%
|
|
単純拡大
|
10
|
68
|
23
|
47
|
5%
|
47%
|
21%
|
27%
|
|
レイアウト拡大
|
4
|
16
|
2
|
16
|
7%
|
37%
|
16%
|
40%
|
|
|
普通科 n=232
|
保健理療科 n=99
|
その他 n=7
|
||||
|
回答者数
|
比率(%)
|
回答者数
|
比率(%)
|
回答者数
|
比率(%)
|
||
|
拡大教科書を
使用している |
計
|
168
|
72%
|
57
|
58%
|
6
|
86%
|
|
単純拡大
|
124
|
53%
|
33
|
33%
|
4
|
57%
|
|
|
レイアウト拡大
|
14
|
6%
|
5
|
5%
|
2
|
29%
|
|
|
両方
|
30
|
13%
|
19
|
19%
|
0
|
0%
|
|
|
拡大教科書を使用していない
|
64
|
28%
|
42
|
42%
|
1
|
14%
|
|
拡大教科書の必要性について調査を行った。普通科は「どちらかというと必要」と回答した生徒が最も多く、保健理療科は「必要不可欠」が最も多かった(図6.18)(重複回答者1人あり)。

現在、拡大教科書を使用していない生徒に関して、使用していない理由を調査した。
拡大教科書を使用していない理由としては、「必要なかった」が最も多く、次いで「通常教科書に補助具を併用している」ため、拡大教科書を必要としない場合が多いことが明らかとなった(図6.19)。

拡大教科書を使用している生徒に対して、使用し始めたきっかけを調査した。
拡大教科書を使用し始めたきっかけとしては、「先生の薦め」が最も多く、次いで「自分の希望」が多いことが明らかとなった(図6.20)。また、普通科に関しては、友人・知人に薦められて使用し始める場合もあった。

使用している拡大教科書はどのように選定したかを調査した。
選定をせずに薦められたものを使用している場合や、他に選択肢がないこともあり、検査や評価を行ったうえで選定をする場合は非常に少ないことが明らかとなった(図6.21)。

単純拡大教科書を使用している生徒に対して、使いやすさを調査し、使いやすい理由と使いにくい理由を調査した。
単純拡大教科書の使いやすさは、ほぼ半数に意見が分かれた(図6.22)(重複回答者3人あり)。文字の大きさが合っていれば使いやすいと感じる(図6.23、図6.24)。
そのほか、使いやすい理由として「図.表が見やすい」「通常教科書とレイアウトが同じ」という点が挙げられ、使いにくい理由として「教科書が大きすぎる」ことが大きな問題となっている。



単純拡大教科書を使用している生徒に対して、より使いやすい教科書にするためにはどのような改善が必要かを調査した。
生徒が考える改善点の、普通科と保健理療科との違いとしては、普通科は文字サイズを犠牲にしても教科書を小さくしてほしいという要望があるのに対し、保健理療科からの同様の要望はほとんど無いことが挙げられる(図6.25)。

今年度も昨年度も高等学校の単純拡大教科書を使用している生徒に対し、使いやすさが変わったと感じたか否かを調査した。使いやすくなった、もしくは使いにくくなったと回答した場合はその理由を調査した。
ほとんどの生徒が、今年度の単純拡大教科書は昨年度と使いやすさが変わらないと回答した(図6.26)。

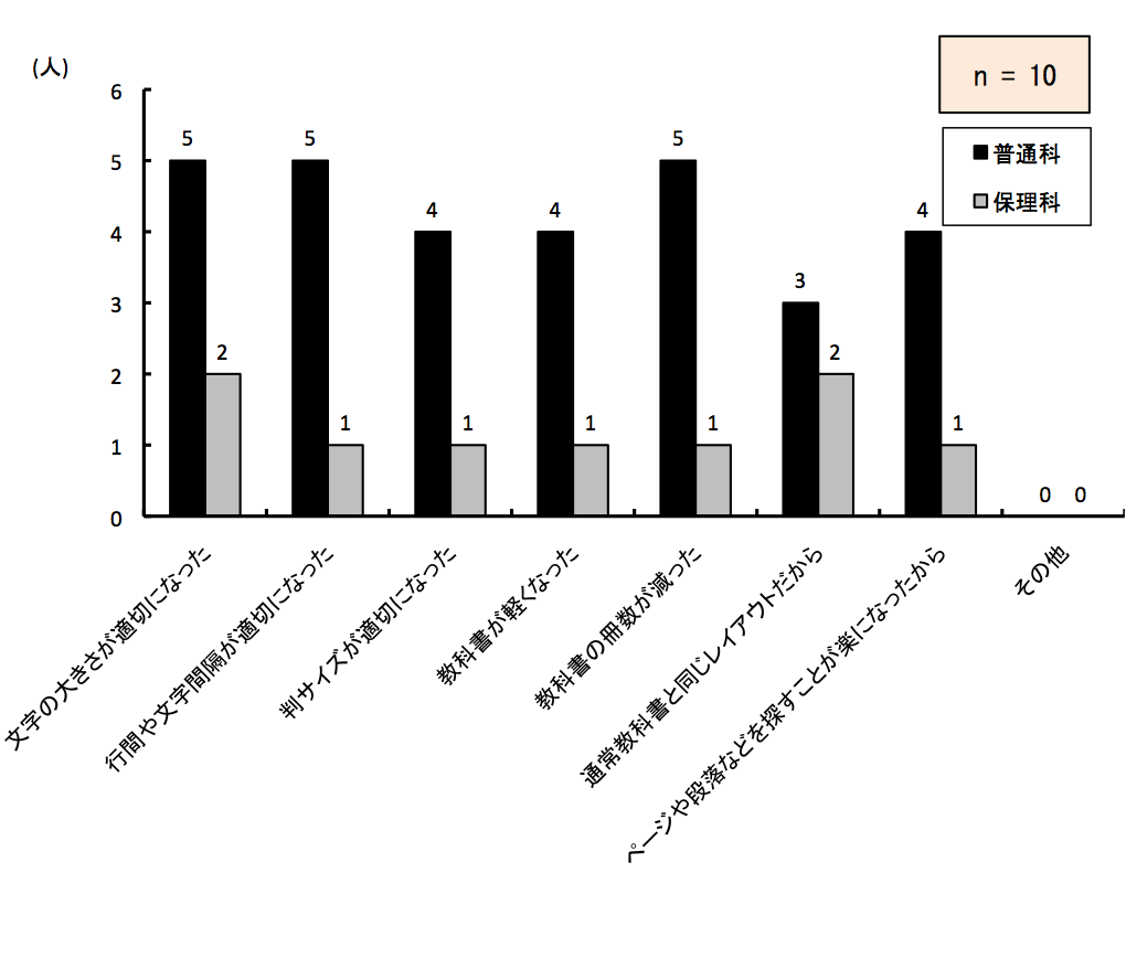
使いやすくなったと回答した生徒の回答理由としては、「文字の大きさが適切」や「図表が見やすい」が挙げている(図6.27)。使いにくいと回答した生徒の理由としては「疲れやすい」ことが挙げられる。

現在、レイアウト拡大教科書を使用している生徒に対して、ボランティア、教科書会社のどちらの教科書を使用しているかを調査した。
普通科、保健理療科ともに教科書会社のレイアウト拡大を最も使用していることが明らかとなった(図6.28)。また、A4の判サイズでは22ポイントの文字サイズが多く、他の判サイズの場合、文字サイズの選択の数に差はないことが明らかとなった(図6.29)。


教科書使用時の、補助具の併用実態について調査した。ほぼ半数の生徒が教科書使用時に補助具を併用していることが明らかとなった(図6.30)。

教科書と補助具の併用時に、生徒が最も疲れないと感じている組み合わせを調査した。
普通科の生徒は「通常教科書と補助具」、「拡大教科書のみ」の使用において最も疲れにくく、保健理療科の生徒は「拡大教科書と補助具」の組み合わせが最も疲れにくいと感じていることが明らかとなった(図6.31)(重複回答者6人あり)。また、最も疲れる組み合わせとしては、普通科・保健理療科ともに「通常教科書のみ」の場合であった(図6.32)(重複回答者43人あり)。


生徒が現在までに受けた補助具の選定や使い方の指導に関して、選定や指導の頻度、時期、場所、および指導者を調査した。
補助具の選定や指導は、普通科で「かつて受けたことがある」、保健理療科で「まったく受けていない」が最も多くなるなど、ほとんどが恒常的な指導を受けていないことが明らかとなった(図6.33)。指導を受けた時期は「2年以内」が最も多く、それ以上に「受けていない」が多かったなど、現在指導を受けている生徒が少ないことが明らかになった(図6.34)。指導を受けた場所としては、「盲学校」で受けた生徒が圧倒的に多く、その指導に当たった人はその学校の「先生」であることがほとんどであった(図6.35、図6.36)。




生徒が教科書を使用する際に、もっとも頻繁に併用する補助具について、補助具の種類、使用箇所、入手場所、指導の必要性を感じているか否か、その補助具の使いやすさを調査した。
その結果、普通科の生徒においては「手持ちルーペ」が、保健理療科の生徒においては「拡大読書器」が最も頻繁に使用されている拡大補助具である事が明らかとなった(図6.37)(重複回答者6人あり)。また、その拡大補助具を用いて、教科書のどこを読むかに関しては、本文やルビ、図など、どこを読むのにも同じように使用していることが明らかとなった(図6.38)。
また、その拡大補助具をどこで選んだかについては、「盲学校」でという回答が大半で、次いで眼鏡店という回答が多かった(図6.39)。補助具に関する指導の必要性を感じている生徒は全体の半数を超えており(図6.40)、その理由としては「上手な使い方の指導」や「見え方にあっているかの指導」を受けたいからという回答が多かった(図6.41)。





拡大補助具の使いやすさに関しては、「使いやすい」と感じている生徒が大半であり、拡大補助具に対する満足度も「満足」している生徒が大半であることが明らかとなった(図6.42、図6.43)。拡大補助具の良い点に関しては、普通科の生徒においては「持ち運びに便利」や「見たいものがすぐに見られる」などの点が多いのに対し、保健理療科の生徒においては、項目の間で大きな差がみられず、これは普通科と保健理療科で最も多く用いられている拡大補助具の違いによるものであると考えられる(図6.44)。
また、拡大補助具を使いたくないと思うときの有無については、半数以上の生徒が「ある」と答えており(図6.45)、その理由として普通科においては「人目が気になる」が最も多く、次いで「疲れる」が多いのに対して、保健理療科においては「疲れる」が最も多く、「人目が気になる」はさほど多くなかった。これも、前述した通り普通科と保健理療科において、最も頻繁に用いられる拡大補助具が異なるために生じたと考えられる(図6.46)。





拡大補助具を使用する際に困っていることや改善したいことについては、「読みたい箇所を探すのに時間がかかる」、「読書に時間がかかる」などの時間に関する項目が多く選択されており、次いで「文字を書くときに使いにくい」という書写の際の不便さを感じるという回答が多かった(図6.47)。

生徒のパーソナルコンピュータ(以下PCと略記)の使用に関して、使用場所ごとの使用状況を調査した。
その結果、学校ではPCを使用する生徒が多いが(図6.48)、家や寄宿舎ではPCの使用状況に大きな差は見られなかった(図6.49)。
家や寄宿舎で自由に使用可能なPCの有無に関して、ほとんどの生徒がPCを持っているが、自分専用のPCを持っている生徒は少なく、大抵の場合、家族と共有しているということが明らかになった(図6.50)。



PC使用時に拡大ソフトや音声化ソフトなどの補助ソフトの使用状況を調査した。
その結果、「拡大ソフトも音声化ソフトも使用している」という生徒が多かった(図6.51、表6.6)(重複回答者1人あり)。

|
|
ソフト名
|
回答者数
|
|
1位
|
PCトーカー
|
66
|
|
2位
|
ZoomText
|
17
|
|
3位
|
xp Reader
|
8
|
文字の拡大や音声読み上げが可能で、操作や持ち運びが楽な「デジタル教科書」を使ってみたいと思うかどうかを調査した。
その結果、「非常に思う」、「少し思う」という、使ってみたいと思う生徒が過半数を占めていることが明らかとなった(図6.52)。

文字の拡大や音声読み上げが可能で、操作や持ち運びが楽な「デジタル教科書」が普及して欲しいと思うかどうかを調査した。
その結果、普通科の生徒においては、「普及して欲しい」という項目が「必要ない」という項目より多く選択されたが、それよりも多く「わからない」という項目も選択されていた。それに対し、保健理療科の生徒においては、「普及して欲しい」という項目が、最も多く選択されていた(図6.53)。

「デジタル教科書」と「印刷された紙の教科書」のどちらかしか選択できないとしたら、どちらを選択するかを調査した。
その結果、紙を希望するケースの方が少し多かったが、二つの選択肢の間に大きな差は見られないことが明らかになった(図6.54)(重複回答者1人あり)。

学校で勉強する際に適していると思われる教科書に関して、生徒に選択させる調査を行った。
その結果、保健理療科では「デジタル」教科書が適していると考えている生徒が最も多く、普通科では「通常」の教科書、「単純」拡大の拡大教科書、「レイアウト」拡大の拡大教科書、「デジタル」教科書の順に適していると生徒に考えられていることがわかった(図6.55)(重複回答者13人あり)。
また、適しているとした理由の自由記述をまとめたところ、携帯性を重視し、補助具との併用を考えた場合「通常」の教科書、大きさや携帯性よりも見やすさを重視した場合「単純」拡大ないし「レイアウト」拡大の教科書、携帯性や自分でカスタマイズ出来る応用性を重視した場合「デジタル」教科書が適していると考えられることがわかった(表6.7)。

|
(数値は、項目にあてはまる自由記述の数)
|
通常
|
単純拡大
|
レイアウト拡大
|
デジタル
|
| 見やすい |
8
|
26
|
30
|
6
|
| 疲れにくい |
1
|
2
|
1
|
2
|
| 補助具利用 |
6
|
1
|
0
|
0
|
| 持ち運びに便利 |
10
|
0
|
3
|
17
|
| 軽い |
3
|
0
|
0
|
0
|
| カスタマイズが出来る |
0
|
0
|
2
|
22
|
| 検索が楽 |
0
|
1
|
2
|
0
|
| 使い慣れている |
3
|
3
|
0
|
0
|
| 使いやすい |
12
|
5
|
5
|
7
|
| 字が大きい |
2
|
10
|
2
|
0
|
| 比較対象無し |
0
|
1
|
0
|
0
|
| 社会に出た後を考えて |
2
|
0
|
0
|
0
|
| かさばらない |
4
|
1
|
0
|
3
|
| 周囲との調和 |
0
|
0
|
0
|
2
|
| 音声で読み上げてくれる |
0
|
0
|
0
|
4
|
| 書き込める |
1
|
1
|
0
|
0
|
| その他 |
18
|
14
|
8
|
13
|
家や寄宿舎で勉強する際に適していると思われる教科書に関して、生徒に選択させる調査を行った。
その結果、保健理療科では「デジタル」教科書が適していると考えている生徒が最も多く、普通科では「通常」の教科書が適していると生徒に考えられていることがわかった(図6.56)(重複回答者8人あり)。
また、適しているとした理由の自由記述をまとめたところ、携帯性を重視し、補助具との併用を考えた場合「通常」の教科書、大きさや携帯性よりも見やすさを重視した場合「単純」拡大ないし「レイアウト」拡大の教科書、携帯性や自分でカスタマイズ出来る応用性を重視した場合「デジタル」教科書が適していると考えられることがわかった(表6.8)。

|
(数値は、項目にあてはまる自由記述の数)
|
通常
|
単純拡大
|
レイアウト拡大
|
デジタル
|
| 見やすい |
16
|
23
|
19
|
3
|
| 疲れにくい |
1
|
1
|
2
|
2
|
| 補助具利用 |
10
|
1
|
0
|
1
|
| 持ち運びに便利 |
19
|
1
|
2
|
23
|
| 軽い |
1
|
0
|
0
|
1
|
| カスタマイズが出来る |
2
|
0
|
0
|
13
|
| 使い慣れている |
2
|
0
|
2
|
0
|
| 使いやすい |
6
|
7
|
5
|
3
|
| 字が大きい |
1
|
9
|
1
|
0
|
| 比較対象無し |
0
|
2
|
0
|
0
|
| かさばらない |
8
|
0
|
1
|
9
|
| 音声で読み上げてくれる |
0
|
0
|
0
|
9
|
| 書き込める |
0
|
0
|
1
|
0
|
| 多くの選択肢 |
1
|
1
|
0
|
1
|
| その他 |
14
|
8
|
6
|
9
|
今年度、教科書の種類を変更したか否か、変更した場合はその理由を調査した。
その結果、今年度において教科書の種類を変更した生徒はほとんどいなかった(図6.57)。しかし、その中でも、教科書を変更した場合の理由としては、「文字の大きさが不適切であった」というのが最も多く、それらはすべて、「自分の意思で変えたわけではない」ことが明らかとなった(図6.58)。


生徒に書体の見本を参考に、教科書の本文に適していると思う書体を順位付けさせた。その結果、UDゴシックB、UD丸ゴシックB、学参UD丸ゴシックBが教科書の本文の書体として相応しいということが明らかになった(表6.9)。
|
ゴシックstd
|
普通科 n=232
|
保健理療科 n=99
|
その他 n=7
|
|||
|
回答者数
|
比率(%)
|
回答者数
|
比率(%)
|
回答者数
|
比率(%)
|
|
|
1位
|
39
|
17%
|
13
|
13%
|
1
|
14%
|
|
2位
|
41
|
18%
|
4
|
4%
|
1
|
14%
|
|
3位
|
12
|
5%
|
9
|
9%
|
0
|
0%
|
|
4位
|
85
|
37%
|
45
|
45%
|
1
|
14%
|
|
5位
|
49
|
21%
|
21
|
21%
|
4
|
57%
|
|
UDゴシックB
|
普通科 n=232
|
保健理療科 n=99
|
その他 n=7
|
|||
|
回答者数
|
比率(%)
|
回答者数
|
比率(%)
|
回答者数
|
比率(%)
|
|
|
1位
|
68
|
29%
|
31
|
31%
|
0
|
0%
|
|
2位
|
36
|
16%
|
12
|
12%
|
1
|
14%
|
|
3位
|
68
|
29%
|
30
|
30%
|
6
|
86%
|
|
4位
|
27
|
12%
|
12
|
12%
|
0
|
0%
|
|
5位
|
23
|
10%
|
6
|
6%
|
0
|
0%
|
|
丸ゴシックstd
|
普通科 n=232
|
保健理療科 n=99
|
その他 n=7
|
|||
|
回答者数
|
比率(%)
|
回答者数
|
比率(%)
|
回答者数
|
比率(%)
|
|
|
1位
|
40
|
17%
|
9
|
9%
|
1
|
14%
|
|
2位
|
27
|
12%
|
9
|
9%
|
1
|
14%
|
|
3位
|
22
|
9%
|
5
|
5%
|
0
|
0%
|
|
4位
|
35
|
15%
|
17
|
17%
|
4
|
57%
|
|
5位
|
98
|
42%
|
51
|
52%
|
1
|
14%
|
|
UD丸ゴシックB
|
普通科 n=232
|
保健理療科 n=99
|
その他 n=7
|
|||
|
回答者数
|
比率(%)
|
回答者数
|
比率(%)
|
回答者数
|
比率(%)
|
|
|
1位
|
44
|
19%
|
17
|
17%
|
3
|
43%
|
|
2位
|
74
|
32%
|
47
|
47%
|
2
|
29%
|
|
3位
|
46
|
20%
|
17
|
17%
|
0
|
0%
|
|
4位
|
44
|
19%
|
13
|
13%
|
1
|
14%
|
|
5位
|
14
|
6%
|
0
|
0%
|
1
|
14%
|
|
学参UD丸ゴシックB
|
普通科 n=232
|
保健理療科 n=99
|
その他 n=7
|
|||
|
回答者数
|
比率(%)
|
回答者数
|
比率(%)
|
回答者数
|
比率(%)
|
|
|
1位
|
39
|
17%
|
25
|
25%
|
2
|
29%
|
|
2位
|
46
|
20%
|
19
|
19%
|
2
|
29%
|
|
3位
|
70
|
30%
|
30
|
30%
|
1
|
14%
|
|
4位
|
31
|
13%
|
4
|
4%
|
1
|
14%
|
|
5位
|
37
|
16%
|
13
|
13%
|
1
|
14%
|
1学年の生徒に対して、中学のときに学んでいた学級を調査した。
その結果、普通科では「通常学級」で学んでいた生徒が最も多く、次いで「盲学校」で学んでいた生徒が多かったのに対し、保健理療科では「通常学級」で学んでいた生徒がほとんどであった(図6.59)。

1学年の生徒に対して、中学時代に拡大教科書を使用していたか否かを調査した。
その結果、普通科では「使っていた」生徒がほとんどであったのに対し、保健理療科では「使ったことはない」生徒がほとんどであった(図6.60)。

中学時代に拡大教科書を使用していた1学年の生徒に対して、使用時期および使用開始時期を調査した。
その結果、中学時代を通して、学年に関係なく拡大教科書を使用していたことが明らかになった(図6.61)。
また、拡大教科書の使用開始時期に関しては、普通科では「中1」で使用し始める生徒が最も多く、次いで「小3」と「小5」が多かった。それに対して、保健理療科ではそもそも、使用していなかったことがわかった(図6.62)。


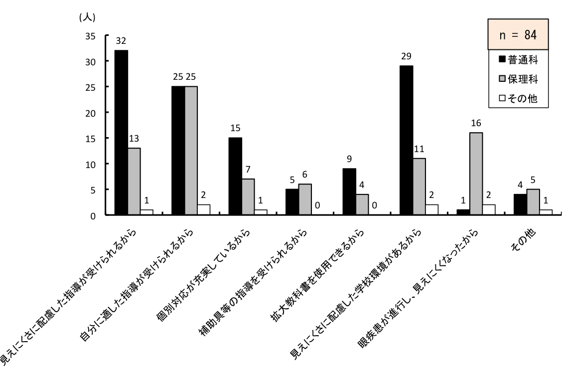
中学時代に盲学校で学んだ経験の無い1学年の生徒に対し、盲学校に進学した理由を調査した。
その結果、普通科では「見えにくさに配慮した学校環境があるから」や「見えにくさに配慮した指導が受けられるから」といった「見えにくさへの配慮」を理由としてあげる生徒が多く、保健理療科では「自分に適した指導が受けられるから」という理由が最も多く、次いで「眼疾患が進行し、見えにくくなったから」という理由が多いことがわかった(図6.63)。

中学時代に拡大教科書を使用していた1学年の生徒に対し、現在の単純拡大教科書が使いやすいか否かを比較してもらい、使いやすい、使いにくい理由を調査した。
その結果、使いやすさに関しては、「使いにくい」ないし「変わらない」という生徒が多く(図6.64)、使いやすい理由に関してはどの項目も大きな差は見られなかった(図6.65)に対して、使いにくい理由に関しては「使用中に疲れやすくなった」が最も多く、次いで「文字サイズが不適切だった」、「判サイズが不適切だった」、「図表が見えにくくなった」などの理由を選ぶ生徒が多かった(図6.66)。



拡大教科書や補助具に対する意見や要望を、自由記述で調査した。
教科書の改善(見にくさ、重さ、個別)、教科書のデジタル化等に関する意見・要望が挙げられた(表6.10)。
|
代表例
|
回答者数
|
||
|
1)
|
教科書の改善
(見にくさ) |
文字や図を大きくして欲しい、文字が小さい、ふりがなが小さい、図が細かすぎて見にくい、文字を太字にして欲しい |
15
|
|
2)
|
教科書の改善
(重さ) |
拡大教科書をもう少し小さくして欲しい、重い、かさばる、持ち運びが大変 |
15
|
|
3)
|
教科書の改善
(統一) |
ページ番号の印刷位置を統一して欲しい、教科ごとに文字サイズや書式などを統一して欲しい、字体をすべてゴシック体にして欲しい |
7
|
|
4)
|
教科書の改善
(個別) |
行番号を挿入して欲しい、写真や図をひとまとめにして欲しい、丈夫な教科書にして欲しい、表紙が薄い、不良品を無くして欲しい、字の白黒をはっきりして欲しい、行間を広くして欲しい |
12
|
|
5)
|
教科書の
デジタル化 |
iPadのようなデジタル教科書が欲しい、QRコードがあれば使いやすそう、教科書をデジタル化したらそれぞれの見え方に合わせて文字の書体や大きさや色を変えられる、デジタルと音声を併用したい |
15
|
|
6)
|
教科書のオーダーメイド制・個別化・多様化
|
文字サイズやフォントや行間などをオーダーメイドできるようになって欲しい、その人に合ったものにして欲しい、一人一人に合わせて選択できるとありがたい、拡大教科書の種類を増やして欲しい |
5
|
|
7)
|
拡大教科書間
の比較 |
単純拡大ではなくレイアウト拡大の方が良い |
3
|
|
8)
|
拡大教科書の
選択の機会 |
通常教科書と拡大教科書の使いやすい方を選べた方が良い、色々なパターンの教科書を見たり試したりできると良い、必要な人には使ってもらい必要ない人は使用しなくても良い |
4
|
|
9)
|
レンズの改善
|
持ち運びしやすいものが良い、もっとおしゃれな補助具があれば楽しい、デザイン性を高めて欲しい、電車等でルーペを使うには人目が気になり抵抗がある、手持ちルーペを丈夫にして欲しい |
5
|
|
10)
|
拡大読書器の
改善 |
手動でピントを合わせるのが良い、周りから差し込む光を遮る工夫が欲しい、使いやすいのに入れ替えて欲しい、近すぎて見えにくい |
4
|
|
11)
|
その他の補助具の改善・作成
|
音声ソフトをもっと充実させて欲しい、ズーム可能な望遠鏡が欲しい、中心暗点の人に対する便利グッズが欲しい |
3
|
|
12)
|
リテラシー・
トレーニング |
学校にいるうちから補助具を使う練習をしなければいけない、どのようなものを使用して良いのかわからない |
2
|
|
13)
|
その他
|
単純拡大がもっと普及して欲しい、きりが無い、現場の担当者の声が反映されないのが残念、早く拡大教科書が来るのを願っている |
4
|