本研究の目的は、高等学校段階における弱視生徒用拡大教科書の在り方を明らかにするための基礎データを収集することである。小学校、中学校段階における拡大教科書に関しては、国立特別支援教育総合研究所等の研究成果に基づき、標準規格が作成されている。しかし、弱視の高校生(以下、弱視生徒)に関しては、1)視機能等、特に読書能力に関する基礎データが十分でない、2)卒業後の進路等を考慮した教育目標を設定しなければならないという発達課題がある、3)義務教育ではないため経費等の社会的な要因を考慮しなければならない等の課題がある。本研究では、最も教育的配慮を必要としている盲学校に在籍している弱視生徒に対象を絞り、視機能や拡大教科書に関するニーズ等のアンケート調査を実施した。
視覚特別支援学校(盲学校)の高等部に在籍している生徒を対象にアンケート方式の実態調査を実施した。アンケートでは、a)眼疾患や視機能等のプロフィール、b)小・中学校段階での拡大教科書や補助具の利用状況、c)高等学校段階での拡大教科書や補助具の利用状況、d)理想的な教科書のあり方に関する要望等を調査した(調査用紙は巻末に掲載)。調査用紙は盲学校に送付し、各盲学校に在籍している弱視生徒に配布していただいた。調査用紙は、高等部があり、弱視の生徒が在籍している盲学校51校に2009年11月2日に送付した。なお、本研究は「慶應義塾総合研究推進機構研究倫理委員会」で承認を受けた上で実施した。
高等部があり、弱視生徒が在籍している51校の盲学校すべて(回収率:100%)から272件の回答が得られた。
図4.1、図4.2に対象者の学年と性別を示した。普通科の生徒が224人、本科保健理療科の生徒が48人で、学年はほぼ均等に分布していた。男女の割合もほぼ均等であった。


図4.3に視力(矯正)の分布を示した。図より、0.1〜0.3の視力の生徒が95人と最も多く、続いて0.3以上が55人であった。割合としては、比較的視力の高い生徒が多いことがわかる。
眼疾患は、網膜色素変性症が42人、白内障が41人、緑内障が32人、未熟児網膜症が24人、視神経萎縮が22人、網膜剥離が17人、眼球振盪が17人、レーベル病が10人で、網膜色素変性症が最も多く、白内障、緑内障が続いていた。
図4.4に読書の際に主として使っている眼を示した。主として使用する眼に左右による明確な差は認められなかった。


図4.5に視野障害の有無と種類を示した。視野に障害がない生徒は94人、障害のある生徒は145人で、半数以上の弱視生徒が視野障害を有していることがわかった。視野障害の内容としては、視野狭窄が114人と多く、中心暗点がある生徒は31人であった。先行研究では、ルーペよりも拡大教科書の恩恵を最も受けることができるのは、中心暗点があるケースとされている。そのため、中心暗点があると報告した31人は、拡大教科書の必要を最も感じている可能性が高いことが示唆される。
図4.6に視力、視野障害で日常的に困難に感じていることを示した。日常的に困難に感じていることで一番多く回答を得たのが「まぶしい」で、143人であった。次いで夜盲があるが91人、白黒反転の方が見やすいが81人であった。


図4.7に視覚以外の障害の有無について示した。視覚以外の障害はないと答えた人は230名で、聴覚障害が7人、肢体不自由が4人、その他が27人であった。

図4.8に小中学校で学んでいた学校の分布を示した。通常学級が210人と最も多く、次に盲学校が119人、弱視学級が41人であった。
図4.9には小中学校時代の拡大教科書の使用経験を示した。使用経験者は164人(60%)で、半数以上の生徒が小中学校時代から拡大教科書を利用していたことがわかった。


図4.10に、拡大教科書を使っていた科目の分布を示した。主要5科目の間での差はあまり見られなかった。
図4.11に、どのように作成された拡大教科書を使用していたかを示した。教科書会社等の出版物を使用していた人が89人と最も多く、ボランティアが個別に作成してくれたものを使用していた人が70人、拡大コピーを使用していた人が28人であった。


図4.12に小中学校時代に利用していた拡大教科書の文字サイズの分布を示した。図より、22〜25ポイントが62人と最も多く、18〜21ポイントが35人、26〜29ポイントが20人と続いていた。小中学校の標準規格で推奨されている文字サイズと一致していることがわかった。

図4.13に、小中学校時代に拡大教科書を利用する際、補助具を併用していたか否かを示した。補助具を併用していたケースは120人(73%)であった。
図4.14には小中学校時代に拡大教科書と併用していた補助具の種類を示した。最も併用されていた補助具は弱視レンズで93人であった。続いて、拡大コピーが56人、拡大読書器が49人であった。
この内、本文を読むために併用が必要だったケースが85人、図を見るためが77人、表を見るためが75人、脚注を見るためが75人であった。(図4.15)



図4.16に、教科書以外の資料を読む時に補助具を併用していたか否かを示した。補助具を併用していたケースは100人(61%)であった。

拡大教科書を使っていなかった生徒105人に、理由を尋ねたところ(図4.17)、「必要なかった」という回答が75人(71%)と最も多く、「存在を知らなかった」が39人(37%)、「入手方法が分からなかった」が9人と続いた。

図4.18に、小・中学校時代に拡大教科書を使っていなかった人について、教科書と補助具を併用していたか否かを示した。補助具を併用していたケースは27人(26%)であった。
図4.19には小中学校時代に教科書と併用していた補助具の種類を示した。最も併用されていた補助具は弱視レンズで18人であった。続いて、拡大コピーが7人、拡大読書器、傾斜机、その他が4人であった。
この内、本文を読むため、図を見るため、表を見るために併用が必要だったケースがそれぞれ15人、脚注を見るためが14人であった。(図4.20)



図4.21に、現在学んでいる学校・学部について示した。盲学校高等部の普通科が224人、保健理療科が48人であった。

現在、保有している教科書の内訳を図4.22に示す。通常の教科書を持っている生徒が一番多く、249人であった。拡大教科書を持っている生徒は216人で、その中で171人が文部科学省から配布(給与)された単純拡大教科書を持っていることがわかった(図4.23)。その他、29人が単純拡大コピー、16人がボランティアによるプライベートサービスの拡大教科書を利用していることがわかった。

持っている拡大教科書の科目は図4.24の通り、国語が最も多く167人で、主要科目と、他の科目(情報、保健体育、音楽)には差がみられた。


図4.25、4.26に、単純拡大教科書を使っている場所(学校もしくは家)を普通科、保健理療科に分けて示した。


図4.27に、拡大教科書と補助具を併用する必要があるか否かを示した。必要があると答えた生徒は97人(57%)であった。
図2.28には拡大教科書と併用する必要がある補助具について示した。最も必要との回答が多かった補助具は弱視レンズで68人であった。続いて、拡大読書器が41人、拡大コピーが13人であった。


通常の教科書を弱視レンズ等で拡大して読むのに比べると単純拡大教科書は「使いやすい」と答える人が85人(50%)、「変わらない」が42人(25%)、「使いにくい」が41人(25%)であった。(図4.29)

ページのわかりやすさについては「ふつう」と答える人が92人(54%)と過半数を超えた。(図4.30)

文字サイズ、書体、行の間隔、文字間隔はいずれも「ちょうどよい」と答える人が過半数を超えた。(図4.31、4.32、4.33、4.34)




教科書の大きさについては「大きい」と答える人が139人(81%)と多かった。(図4.35)
本の厚さについては「ちょうどよい」と答える人が95人(56%)過半数を超え(図4.36)、本の重さについては、「重い」と答える人が116人(68%)であった(図4.37)。
紙面のまぶしさについては、「普通」が81人(47%)、「気にならない」が61人(36%)、「まぶしい」は27人(16%)であった(図4.38)。




図4.39に文部科学省から給与された単純拡大教科書の使用状況を示した。図より、必ずもしくはよく使用している生徒は171人中93人(54%)いることがわかった。この結果から、単純拡大であっても有効な生徒がいることがわかった(調査対象全体から見た割合は34.2%)。
拡大教科書を使用していない生徒78人に、理由を尋ねたところ(図4.40)「本が大きすぎる」という回答が52人(71%)と最も多く、「文字の大きさが不適切」が24人(31%)、「書体が不適切」が16人(21%)、「補助具を併用しなければならない」が18人(23%)であった。


単純拡大教科書を使用している93人に対して、満足度を調べた結果を図4.41に示す。「非常に満足している」と「満足している」を合わせると52人(56%)で、半数を超えていることがわかった。ただし、41人(44%)は満足していないと回答していた。
単純拡大教科書に満足していない生徒41人に、理由を尋ねたところ(図4.42)、「教科書が大きすぎる」という回答が31人(76%)と最も多く、「文字の大きさが不適切」が22人(54%)、「補助具を併用しなければならないから」が16人(39%)、「書体が不適切」が13人(32%)であった。


図4.43に、単純拡大教科書を使用している93人の補助具併用の有無を示した。52人(56%)と半数以上が補助具を併用していることがわかった。
図4.44に拡大教科書と併用している補助具の種類を示した。最も併用されている補助具は弱視レンズで35人、続いて拡大読書器が21人であった。小中学校時代と比較すると拡大読書器の割合が多くなっている。
利用している場面(図4.45)は、本文が38人(73%)、脚注が31人(60%)、図が37人(71%)、表が33人(63%)であった。



表4.1、図4.46、図4.47はボランティアが個別に作成した拡大教科書がどのようなものか聞いている。普通科はパソコンで作成された拡大教科書が最も多い。また国語の拡大教科書の作成が多く、その次に数学となっている。保理科は手書きが僅かに多く、教科の種類は差がなかった。
|
|
普通科
|
保理科
|
||||||
|
手書き
|
パソコン
|
拡大コピー
|
その他
|
手書き
|
パソコン
|
拡大コピー
|
その他
|
|
|
国語
|
2
|
8
|
2
|
0
|
1
|
0
|
0
|
0
|
|
数学
|
2
|
5
|
2
|
0
|
1
|
0
|
0
|
0
|
|
英語
|
2
|
2
|
1
|
1
|
1
|
0
|
0
|
0
|
|
地理
|
0
|
2
|
1
|
0
|
1
|
0
|
0
|
0
|
|
日本史
|
1
|
1
|
0
|
0
|
0
|
1
|
0
|
0
|
|
世界史
|
2
|
2
|
0
|
0
|
0
|
1
|
0
|
0
|
|
現代社会
|
2
|
1
|
0
|
0
|
0
|
1
|
0
|
0
|
|
倫理
|
1
|
0
|
0
|
0
|
0
|
0
|
0
|
0
|
|
政治社会
|
1
|
1
|
0
|
0
|
1
|
0
|
0
|
0
|
|
理科基礎
|
0
|
1
|
0
|
0
|
0
|
1
|
0
|
0
|
|
理科総合
|
0
|
1
|
1
|
0
|
0
|
1
|
0
|
0
|
|
生物
|
2
|
1
|
0
|
0
|
1
|
0
|
0
|
0
|
|
物理
|
0
|
1
|
0
|
0
|
0
|
0
|
0
|
0
|
|
化学
|
1
|
2
|
0
|
0
|
0
|
0
|
0
|
0
|
|
情報
|
0
|
0
|
0
|
0
|
0
|
1
|
0
|
0
|
|
音楽
|
0
|
0
|
1
|
0
|
1
|
0
|
0
|
0
|
|
その他
|
1
|
2
|
2
|
0
|
0
|
0
|
0
|
0
|


図4.48よりボランティア作成拡大教科書を使っていた時の文字サイズは普通科、保理科では、22-25ptが一番多く、次に18-21pt、40ptの順である。

図4.49よりボランティア作成の教科書を普通科の生徒は必ず使用していると回答が多く、保理科では使用しているものが少なかった。使用していない理由は、文字の大きさが不適切であると好みと一致していなかったようである。(図4.50)


図4.51よりボランティア作成の教科書を使っている理由は自分の見え方に合わせてくれているからという理由が圧倒的に多く、個々にオーダーメイドされている点が好まれていることがわかる。しかし、他に適切な教科書がないからと言う理由もあげられていた。

図4.52よりボランティア作成の教科書の満足度で「非常に満足している」と「満足している」を合わせると11人と半数以上の生徒が満足をしていることがわかる。一方、プライベートサービスだと考えられるボランティア作成の拡大教科書に満足していないと回答した生徒もあった。図4.53より、満足していない6名は教科書が大きすぎる、書体が不適切などの理由をあげている。プライベートサービスであるにもかかわらず、満足が得られてないのは、見え方が変化した結果なのか、それとも個々のニーズが十分に反映できなかったのかは不明であり、今後の調査が必要である。
ボランティア作成の拡大教科書を使用する際、補助具を併用しているかどうかに関する質問に対して、16人中12人が併用をしていないと回答している(図4.54)。併用しているのは僅か、4人で、併用している補助具はばらつきがあるが書見台が多かった(図4.55)。また、補助具は、本文、図等を読む際に使用していることがわかる(図4.56)。





通常の教科書を利用している生徒は249名いることがわかった。図4.57より通常の教科書の使用状況は、国語、数学、英語と主要3教科が多いことがわかる。

通常の教科書を利用する際、補助具を併用している生徒は249人中161人いる一方、補助具なしで通常の教科書を利用している生徒が88人いることがわかった(図4.58)。
併用している補助具は161人中125人が弱視レンズを使用している(図4.59)。拡大補助具は、本文、脚注、図、表を読む際に利用しているようである。(図4.60)通常の教科書の良いと思う点は、249人中、227人が持ち運びやすさと回答し圧倒的に多かった。(図4.61)通常の教科書を使う際に困る点にたいして、あまり困らない93人と、困っている91人と分かれた回答となった。(図4.62)困っている理由もほぼ大差がないようである。(図4.63)拡大教科書をまったく使わない理由は85人が通常の教科書で十分だからという回答が多かった。(図4.64)







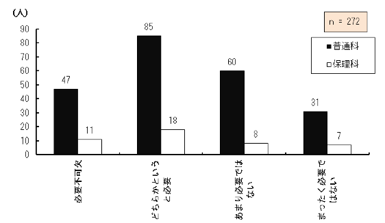
理想的には拡大教科書がどの程度、必要かについて質問した結果を図4.65に示した。「必要不可欠」が22%、「どちらかと言うと必要」が38%で、必要だと回答した生徒は半数を超えていた。ただし、「まったく必要ない」が14%、「あまり必要ない」が26%おり、弱視生徒のニーズが多様であることがわかる。

理想的には拡大教科書がどの程度、必要かについて質問した結果を図4.66に示した。「拡大教科書があれば補助具は必要ない」が29%、「補助具と拡大教科書の両方が必要」が28%「補助具があれば拡大教科書は必要ない」が24%で、ニーズが多様であることがわかった。(図4.67、4.68)



理想的な文字サイズの分布を図4.69に示した。図より、18〜21ポイントが74人と最も多く、22〜25ポイントが61人、14〜17ポイントが41人と続いていた。文字サイズに対するニーズが、小中学校時代よりも小さな文字にシフトしていることがわかる。

教科書体、明朝体、ゴシック体、丸ゴシック体の4書体に関して、好む順位を調査した。最も好むと選択された書体を表4.2及び図4.70に示した。図より、この4書体の中では、丸ゴシック体が最も好まれていることがわかった。
|
|
教科書体
|
明朝体
|
ゴシック体
|
丸ゴシック体
|
||||||||||||
|
1位
|
2位
|
3位
|
4位
|
1位
|
2位
|
3位
|
4位
|
1位
|
2位
|
3位
|
4位
|
1位
|
2位
|
3位
|
4位
|
|
|
普通科
|
25
|
13
|
36
|
148
|
21
|
32
|
135
|
34
|
71
|
123
|
24
|
4
|
107
|
54
|
24
|
37
|
|
保理科
|
3
|
1
|
6
|
32
|
5
|
3
|
30
|
4
|
7
|
29
|
6
|
0
|
27
|
9
|
1
|
5
|
|
計
|
28
|
14
|
42
|
180
|
26
|
35
|
165
|
38
|
78
|
152
|
30
|
4
|
134
|
63
|
25
|
42
|

拡大教科書の理想的な行間隔、文字間隔等について設問した結果を表4.3及び図4.71に示した。図表より、各項目「どちらでもよい」が多くなっているが、通常の教科書とのページ対応のみ「同じがよい」という選択が多いことがわかった。
|
|
行間隔
|
文字間隔
|
通常の教科書とのページ対応
|
文章の方向
|
補助具の併用
|
||||||||||
|
広い方がよい
|
狭い方がよい
|
どちらでも
|
広い方がよい
|
狭い方がよい
|
どちらでも
|
同じがよい
|
分割されていてもよい
|
どちらでも
|
縦書き
|
横書き
|
どちらでもよい
|
してもよい
|
したくない
|
どちらでもよい
|
|
|
普通科
|
80
|
35
|
108
|
46
|
48
|
128
|
129
|
45
|
49
|
11
|
94
|
118
|
71
|
70
|
83
|
|
保理科
|
23
|
5
|
16
|
15
|
8
|
21
|
18
|
9
|
16
|
3
|
28
|
14
|
19
|
16
|
9
|
|
計
|
103
|
40
|
124
|
61
|
56
|
149
|
147
|
54
|
65
|
14
|
122
|
132
|
90
|
86
|
92
|

拡大教科書を選ぶ際、読みやすさと持ち運びやすさのどちらを優先するかという設問の結果を図4.72に示した。読みやすさと持ち運びやすさが拮抗していることがわかった。また、分冊の可否について設問した結果を図4.73に示した。分冊数が増えても薄い方がよいという回答が多かったが、厚くても1冊がよいという意見も少なくなかった。


拡大教科書を選択する際に重視する要素を調査した。文字サイズ、書体、行間、文字間、教科書の大きさ、厚さ、重さ、分冊数、ページ対応、紙の色、縦書き・横書き、価格の12要素について順位付けを求めた。1位から3位に選択された要素の頻度を図4.74、表4.4に示した。図表より、文字サイズ、書体、教科書の大きさが重要な要素であることがわかった。

|
|
文字の大きさ
|
書体
|
行の間隔
|
文字の間隔
|
教科書の大きさ
|
教科書の厚さ
|
||||||||||||
|
1位
|
2位
|
3位
|
1位
|
2位
|
3位
|
1位
|
2位
|
3位
|
1位
|
2位
|
3位
|
1位
|
2位
|
3位
|
1位
|
2位
|
3位
|
|
|
普通科
|
122
|
34
|
16
|
22
|
71
|
26
|
4
|
13
|
34
|
4
|
5
|
29
|
25
|
27
|
29
|
6
|
21
|
24
|
|
保理科
|
30
|
5
|
1
|
3
|
16
|
4
|
0
|
4
|
7
|
0
|
1
|
6
|
5
|
7
|
2
|
0
|
3
|
8
|
|
計
|
152
|
39
|
17
|
25
|
87
|
30
|
4
|
17
|
41
|
4
|
6
|
35
|
30
|
34
|
31
|
6
|
24
|
32
|
|
|
教科書の重さ
|
分冊数
|
通常の教科書とのページ対応
|
紙の色
|
文章の方向
(縦書きか横書き) |
価格
|
||||||||||||
|
1位
|
2位
|
3位
|
1位
|
2位
|
3位
|
1位
|
2位
|
3位
|
1位
|
2位
|
3位
|
1位
|
2位
|
3位
|
1位
|
2位
|
3位
|
|
|
普通科
|
15
|
20
|
25
|
3
|
9
|
10
|
4
|
6
|
16
|
5
|
7
|
11
|
2
|
7
|
8
|
15
|
7
|
6
|
|
保理科
|
2
|
2
|
3
|
0
|
0
|
0
|
0
|
1
|
2
|
2
|
0
|
5
|
0
|
2
|
5
|
2
|
3
|
0
|
|
計
|
17
|
22
|
28
|
3
|
9
|
10
|
4
|
7
|
18
|
7
|
7
|
16
|
2
|
9
|
13
|
17
|
10
|
6
|
学校の授業以外で文字を読む際、パソコンで文字を拡大したり、スクリーンリーダーを使ったりすることがあるかという設問への回答を図4.75に示した。図より、授業以外でパソコンを使わない生徒の方が多いことがわかった。また、電子データが提供された場合に活用したいかという設問に対する回答を図4.76に示した。電子化を望む意見の方が少し多かったが、電子化を望まないという意見も少なくなかった。これらの結果から考えると、電子データを利用するリテラシィがまだ十分に育っていないことが推測される。


拡大教科書や電子書籍に対する期待を設問した結果を図4.77に示す。図より、拡大教科書や電子化に対する希望ばかりではないことがわかった。この結果から、弱視生徒のすべてが拡大教科書や電子化を望んでいるわけではなく、ニーズが多様であることがわかる。

高等学校では好みも効率も小中学校段階よりも小さな文字サイズにシフト(小中学校段階で利用していた文字サイズは22、18、26、14ポイントの順だったのに対して、高等学校では18、22、14、26ポイントの順であった)していることがわかった。レイアウト拡大が必要でボランティアに依頼している生徒数は16名で、ほとんどが18から26ポイントを使用していることがわかった。なお、レイアウト拡大が必要な生徒が存在することは明らかであるが、その実態は不明確であり、どのような方法で拡大教科書を製作すべきかを含めてさらなる調査が必要であることがわかった。
272名中63%の生徒が試作版単純拡大教科書の給与を受けているが、日常的に利用しているのはその半数強(54%)であった。給与された単純拡大教科書を使っていない理由としては、判が大きすぎる、文字が小さすぎる、補助具を併用しなければならないのが不便、フォントが見えにくい等が挙がっており、これらに配慮すれば単純拡大方式の教科書を活用できる生徒の数はさらに増えることが示唆された。また、すべての弱視生徒が拡大教科書を求めているわけではなく、拡大補助具があれば拡大教科書は必要ないという生徒もおり、その実態を明らかにする必要があることが示唆された。
教科書の電子化推進という観点では、電子化を望む声は半数強で、弱視生徒のリテラシィに関する調査が必要なことが示唆された。